【第459回】ビンゴ5予想&分析【2026年02月25日(水)】
2026年2月25日、この日は冬の終わりを告げる特別な瞬間です。もしかしたら、あなたがその日にビンゴ5で当選し、億万長者へと導かれる運命のチャンスをつかむかもしれません。この奇跡が実現すれば、一瞬にして人生は変わり、大逆転が待っています。夢や希望を抱いて、その一歩を踏み出しましょう。不安や損失は脇に置き、自分自身の未来に全力で賭けてみませんか。
\ 【期間限定】今だけ特別価格で提供中 /
目次
【第459回】ビンゴ5分析レポート
次回抽選情報
直近5回の当選状況
2026/01/21 第454回
| 4 |
9 |
11 |
| 17 |
FREE |
23 |
| 29 |
34 |
39 |
| 当選数字 | 4, 9, 11, 17, 23, 29, 34, 39 |
| 1等 | 3本 6,441,900円 |
| 2等 | 35本 443,500円 |
| 3等 | 194本 36,000円 |
| 4等 | 651本 17,300円 |
| 5等 | 6235本 1,600円 |
| 6等 | 23086本 600円 |
| 7等 | 192135本 200円 |
2026/01/28 第455回
| 4 |
8 |
13 |
| 19 |
FREE |
25 |
| 28 |
31 |
39 |
| 当選数字 | 4, 8, 13, 19, 25, 28, 31, 39 |
| 1等 | 7本 2,513,600円 |
| 2等 | 67本 228,900円 |
| 3等 | 132本 52,300円 |
| 4等 | 578本 19,300円 |
| 5等 | 3887本 2,600円 |
| 6等 | 21293本 700円 |
| 7等 | 191394本 200円 |
2026/02/04 第456回
| 2 |
10 |
14 |
| 18 |
FREE |
25 |
| 28 |
31 |
40 |
| 当選数字 | 2, 10, 14, 18, 25, 28, 31, 40 |
| 1等 | 6本 3,268,900円 |
| 2等 | 37本 445,400円 |
| 3等 | 119本 62,300円 |
| 4等 | 488本 24,500円 |
| 5等 | 3425本 3,100円 |
| 6等 | 19495本 800円 |
| 7等 | 174822本 200円 |
2026/02/11 第457回
| 2 |
8 |
11 |
| 17 |
FREE |
25 |
| 29 |
34 |
39 |
| 当選数字 | 2, 8, 11, 17, 25, 29, 34, 39 |
| 1等 | 4本 4,675,600円 |
| 2等 | 56本 270,000円 |
| 3等 | 180本 37,800円 |
| 4等 | 780本 14,100円 |
| 5等 | 4615本 2,100円 |
| 6等 | 22695本 600円 |
| 7等 | 179042本 200円 |
2026/02/18 第458回
| 5 |
8 |
13 |
| 20 |
FREE |
24 |
| 30 |
34 |
40 |
| 当選数字 | 5, 8, 13, 20, 24, 30, 34, 40 |
| 1等 | 2本 9,505,300円 |
| 2等 | 50本 312,600円 |
| 3等 | 137本 51,300円 |
| 4等 | 681本 16,700円 |
| 5等 | 3789本 2,700円 |
| 6等 | 23645本 600円 |
| 7等 | 181822本 200円 |
賞金データ分析
1等: 縦・横・斜めの8ラインすべてがそろったもの
| 平均当選金額 | 7,126,310円 |
| 平均当選本数 | 3.9本 |
2等: いずれか6ラインがそろったもの
| 平均当選金額 | 333,570円 |
| 平均当選本数 | 51.6本 |
3等: いずれか5ラインがそろったもの
| 平均当選金額 | 49,120円 |
| 平均当選本数 | 145.9本 |
4等: いずれか4ラインがそろったもの
| 平均当選金額 | 18,890円 |
| 平均当選本数 | 600.0本 |
5等: いずれか3ラインがそろったもの
| 平均当選金額 | 2,506円 |
| 平均当選本数 | 4,062.2本 |
6等: いずれか2ラインがそろったもの
| 平均当選金額 | 663円 |
| 平均当選本数 | 21,650.3本 |
7等: いずれか1ラインがそろったもの
| 平均当選金額 | 200円 |
| 平均当選本数 | 184,261.7本 |
1等賞金トレンド: 上昇
売上データ分析
基本情報
| 平均販売額(直近30回) | 250,947,493円 |
| 最高販売額 | 294,325,600円 (2026-01-07) |
| 最低販売額 | 238,364,800円 (2025-08-13) |
販売額推移
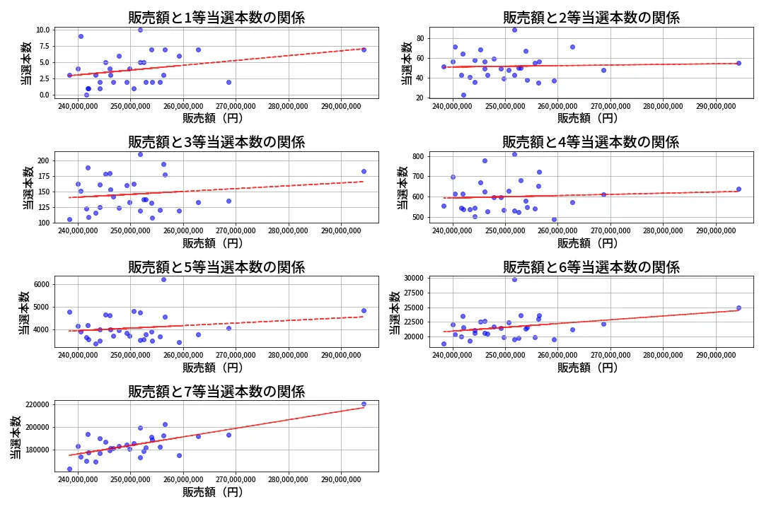
売上と当選の相関分析
| 等級 | 相関係数 |
| 1等 | 0.3 |
| 2等 | 0.1 |
| 3等 | 0.2 |
| 4等 | 0.1 |
| 5等 | 0.2 |
| 6等 | 0.3 |
| 7等 | 0.7 |
販売効率分析
| 平均払戻率 | 45.0% |
| 最高払戻率 | 45.0% |
| 最低払戻率 | 45.0% |
数字出現傾向分析
マス位置別の数字出現頻度
左上(1-5)
| 数字 | 出現回数 |
| 1 | 1回 |
| 2 | 2回 |
| 3 | 3回 |
| 4 | 3回 |
| 5 | 6回 |
上中(6-10)
| 数字 | 出現回数 |
| 6 | 3回 |
| 7 | 1回 |
| 8 | 4回 |
| 9 | 4回 |
| 10 | 3回 |
右上(11-15)
| 数字 | 出現回数 |
| 11 | 5回 |
| 12 | 1回 |
| 13 | 4回 |
| 14 | 2回 |
| 15 | 3回 |
左中(16-20)
| 数字 | 出現回数 |
| 16 | 5回 |
| 17 | 3回 |
| 18 | 4回 |
| 19 | 2回 |
| 20 | 1回 |
右中(21-25)
| 数字 | 出現回数 |
| 21 | 2回 |
| 22 | 3回 |
| 23 | 4回 |
| 24 | 3回 |
| 25 | 3回 |
左下(26-30)
| 数字 | 出現回数 |
| 26 | 2回 |
| 27 | 1回 |
| 28 | 6回 |
| 29 | 4回 |
| 30 | 2回 |
下中(31-35)
| 数字 | 出現回数 |
| 31 | 2回 |
| 32 | 4回 |
| 33 | 3回 |
| 34 | 4回 |
| 35 | 2回 |
右下(36-40)
| 数字 | 出現回数 |
| 36 | 1回 |
| 37 | 2回 |
| 38 | 2回 |
| 39 | 5回 |
| 40 | 5回 |
当選数字の合計値分析
| 平均値 | 164.4 |
| 中央値 | 164.5 |
| 最小値 | 157.0 |
| 最大値 | 174.0 |
奇数・偶数の分布(直近10回)
| 種類 | 個数 | 割合 |
| 奇数 | 39個 | 48.8% |
| 偶数 | 41個 | 51.2% |
マス別傾向分析
各マス位置の奇数・偶数出現率
| マス位置 | 奇数・偶数比率 |
| 左上 | 奇数6個:偶数4個 |
| 上中 | 奇数3個:偶数7個 |
| 右上 | 奇数8個:偶数2個 |
| 左中 | 奇数3個:偶数7個 |
| 右中 | 奇数6個:偶数4個 |
| 左下 | 奇数4個:偶数6個 |
| 下中 | 奇数5個:偶数5個 |
| 右下 | 奇数4個:偶数6個 |
【第459回】ビンゴ5予測レポート
統計データをもとに導き出した「究極の予測」をご紹介します。
予測の内容は
- 本命予測TOP3
- データ分析予測3選
- おすすめナンバー10選
になります。
また、すべての予測に「データ分析結果」が書かれていますのでご安心ください。
それでは、さっそくご紹介します。
※本予想は参考情報であり、当選を保証するものではありません。
※予想内容の利用は自己責任でお願いします。
プレミアム予想をnoteで公開中
第459回のビンゴ5予想は「note」で詳しく解説しています。
- 本命予測TOP3
- データ分析予測3選
- おすすめナンバー10選
\ 【期間限定】今だけ特別価格で提供中 /