【第455回】ビンゴ5予想&分析【2026年01月28日(水)】
2026年1月28日は、歴史に名を刻む特別な日になるかもしれません。この日こそが、あなたの人生を変えるチャンスとなることを覚えておいてください。冷たい冬の空気の中で、温かな奇跡が舞い降りてくる可能性があります。ビンゴ5によって億万長者への道が開かれる瞬間、その時こそ夢の実現へと進む大逆転劇が始まります。運命は待ってくれません、一歩踏み出す勇気を持ち、このチャンスを掴んでください。
\ 【期間限定】今だけ特別価格で提供中 /
目次
【第455回】ビンゴ5分析レポート
次回抽選情報
直近5回の当選状況
2025/12/17 第450回
| 3 |
9 |
15 |
| 16 |
FREE |
24 |
| 28 |
32 |
38 |
| 当選数字 | 3, 9, 15, 16, 24, 28, 32, 38 |
| 1等 | 7本 2,613,700円 |
| 2等 | 56本 270,100円 |
| 3等 | 177本 38,400円 |
| 4等 | 721本 15,200円 |
| 5等 | 4559本 2,100円 |
| 6等 | 23664本 600円 |
| 7等 | 202402本 200円 |
2025/12/24 第451回
| 3 |
7 |
13 |
| 16 |
FREE |
23 |
| 26 |
35 |
39 |
| 当選数字 | 3, 7, 13, 16, 23, 26, 35, 39 |
| 1等 | 2本 9,818,600円 |
| 2等 | 48本 345,700円 |
| 3等 | 135本 55,300円 |
| 4等 | 611本 19,700円 |
| 5等 | 4048本 2,700円 |
| 6等 | 22244本 700円 |
| 7等 | 193235本 200円 |
2026/01/07 第452回
| 5 |
10 |
11 |
| 18 |
FREE |
24 |
| 29 |
34 |
40 |
| 当選数字 | 5, 10, 11, 18, 24, 29, 34, 40 |
| 1等 | 7本 2,920,000円 |
| 2等 | 55本 323,800円 |
| 3等 | 183本 43,800円 |
| 4等 | 638本 20,300円 |
| 5等 | 4829本 2,400円 |
| 6等 | 24933本 700円 |
| 7等 | 220939本 200円 |
2026/01/14 第453回
| 5 |
6 |
15 |
| 16 |
FREE |
23 |
| 28 |
35 |
40 |
| 当選数字 | 5, 6, 15, 16, 23, 28, 35, 40 |
| 1等 | 7本 2,762,500円 |
| 2等 | 71本 227,000円 |
| 3等 | 133本 54,500円 |
| 4等 | 572本 20,500円 |
| 5等 | 3777本 2,800円 |
| 6等 | 21232本 700円 |
| 7等 | 191970本 200円 |
2026/01/21 第454回
| 4 |
9 |
11 |
| 17 |
FREE |
23 |
| 29 |
34 |
39 |
| 当選数字 | 4, 9, 11, 17, 23, 29, 34, 39 |
| 1等 | 3本 6,441,900円 |
| 2等 | 35本 443,500円 |
| 3等 | 194本 36,000円 |
| 4等 | 651本 17,300円 |
| 5等 | 6235本 1,600円 |
| 6等 | 23086本 600円 |
| 7等 | 192135本 200円 |
賞金データ分析
1等: 縦・横・斜めの8ラインすべてがそろったもの
| 平均当選金額 | 7,770,828円 |
| 平均当選本数 | 3.5本 |
2等: いずれか6ラインがそろったもの
| 平均当選金額 | 357,430円 |
| 平均当選本数 | 49.8本 |
3等: いずれか5ラインがそろったもの
| 平均当選金額 | 49,796円 |
| 平均当選本数 | 143.6本 |
4等: いずれか4ラインがそろったもの
| 平均当選金額 | 19,163円 |
| 平均当選本数 | 589.3本 |
5等: いずれか3ラインがそろったもの
| 平均当選金額 | 2,530円 |
| 平均当選本数 | 4,017.6本 |
6等: いずれか2ラインがそろったもの
| 平均当選金額 | 663円 |
| 平均当選本数 | 21,484.6本 |
7等: いずれか1ラインがそろったもの
| 平均当選金額 | 200円 |
| 平均当選本数 | 183,818.0本 |
1等賞金トレンド: 下降
売上データ分析
基本情報
| 平均販売額(直近30回) | 250,355,493円 |
| 最高販売額 | 294,325,600円 (2026-01-07) |
| 最低販売額 | 238,364,800円 (2025-08-13) |
販売額推移
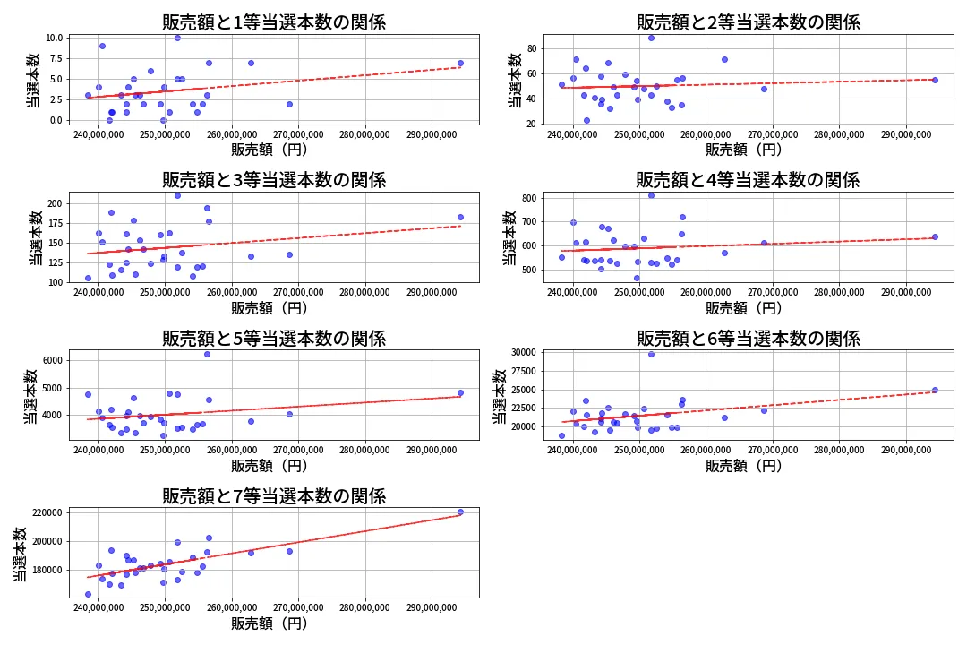
売上と当選の相関分析
| 等級 | 相関係数 |
| 1等 | 0.3 |
| 2等 | 0.1 |
| 3等 | 0.2 |
| 4等 | 0.1 |
| 5等 | 0.2 |
| 6等 | 0.4 |
| 7等 | 0.7 |
販売効率分析
| 平均払戻率 | 45.0% |
| 最高払戻率 | 45.0% |
| 最低払戻率 | 45.0% |
数字出現傾向分析
マス位置別の数字出現頻度
左上(1-5)
| 数字 | 出現回数 |
| 1 | 3回 |
| 2 | 0回 |
| 3 | 3回 |
| 4 | 3回 |
| 5 | 6回 |
上中(6-10)
| 数字 | 出現回数 |
| 6 | 4回 |
| 7 | 2回 |
| 8 | 3回 |
| 9 | 4回 |
| 10 | 2回 |
右上(11-15)
| 数字 | 出現回数 |
| 11 | 6回 |
| 12 | 1回 |
| 13 | 2回 |
| 14 | 3回 |
| 15 | 3回 |
左中(16-20)
| 数字 | 出現回数 |
| 16 | 6回 |
| 17 | 4回 |
| 18 | 3回 |
| 19 | 2回 |
| 20 | 0回 |
右中(21-25)
| 数字 | 出現回数 |
| 21 | 2回 |
| 22 | 4回 |
| 23 | 4回 |
| 24 | 5回 |
| 25 | 0回 |
左下(26-30)
| 数字 | 出現回数 |
| 26 | 3回 |
| 27 | 3回 |
| 28 | 4回 |
| 29 | 3回 |
| 30 | 2回 |
下中(31-35)
| 数字 | 出現回数 |
| 31 | 1回 |
| 32 | 6回 |
| 33 | 4回 |
| 34 | 2回 |
| 35 | 2回 |
右下(36-40)
| 数字 | 出現回数 |
| 36 | 1回 |
| 37 | 3回 |
| 38 | 3回 |
| 39 | 3回 |
| 40 | 5回 |
当選数字の合計値分析
| 平均値 | 163.8 |
| 中央値 | 162.5 |
| 最小値 | 157.0 |
| 最大値 | 171.0 |
奇数・偶数の分布(直近10回)
| 種類 | 個数 | 割合 |
| 奇数 | 43個 | 53.8% |
| 偶数 | 37個 | 46.2% |
マス別傾向分析
各マス位置の奇数・偶数出現率
| マス位置 | 奇数・偶数比率 |
| 左上 | 奇数8個:偶数2個 |
| 上中 | 奇数5個:偶数5個 |
| 右上 | 奇数8個:偶数2個 |
| 左中 | 奇数3個:偶数7個 |
| 右中 | 奇数5個:偶数5個 |
| 左下 | 奇数4個:偶数6個 |
| 下中 | 奇数5個:偶数5個 |
| 右下 | 奇数5個:偶数5個 |
【第455回】ビンゴ5予測レポート
統計データをもとに導き出した「究極の予測」をご紹介します。
予測の内容は
- 本命予測TOP3
- データ分析予測3選
- おすすめナンバー10選
になります。
また、すべての予測に「データ分析結果」が書かれていますのでご安心ください。
それでは、さっそくご紹介します。
※本予想は参考情報であり、当選を保証するものではありません。
※予想内容の利用は自己責任でお願いします。
プレミアム予想をnoteで公開中
第455回のビンゴ5予想は「note」で詳しく解説しています。
- 本命予測TOP3
- データ分析予測3選
- おすすめナンバー10選
\ 【期間限定】今だけ特別価格で提供中 /